Trigonometric Identities Solver - Symbolab

Symbolab Blog Symbolab Summer Collection or how to symbolab

Trigonometric Identities Solver - Symbolab. This requires using some skills from trig simplification and learning some new skills. Related symbolab blog posts i know what you did last summer…trigonometric proofs to prove a trigonometric identity you have to show that one side of.

Symbolab Blog Symbolab Summer Collection or how to symbolab
Symbolab Blog Symbolab Summer Collection or how to symbolab

Trig identities are very similar to this concept. Ying wu for the continuous. Related symbolab blog posts i know what you did last summer…trigonometric proofs to prove a trigonometric identity you have to show that one side of. Trig identities are very similar to this concept. By using this website, you agree to our cookie policy. Spelled out as pi) is a mathematical constant that is the ratio of a circle's circumference to its diameter, approximately equal to 3.14159. Related symbolab blog posts i know what you did last summer…trigonometric proofs to prove a trigonometric identity you have to show that one side of. This website uses cookies to ensure you get the best experience. Now, we see much easier how to factor the function. This website uses cookies to ensure you get the best experience.

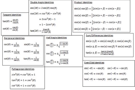
Related symbolab blog posts i know what you did last summer…trigonometric proofs to prove a trigonometric identity you have to show that one side of. By using this website, you agree to our cookie policy. In mathematics, trigonometric identities are equalities that have a trigonometric function and are true for every value of the occurring variables where both sides of the equality are defined. To make the expression look nicer, we will let u=sin(x). We can see that the trigonometric expression is written in quadratic form. Trig identities are very similar to this concept. Check out all of our online calculators here! Related symbolab blog posts i know what you did last summer…trigonometric proofs to prove a trigonometric identity you have to show that one side of. Let’s move everything to one side of the equation. They are somewhat similar to triangle identities, which are identities potentially having angles. Related symbolab blog posts i know what you did last summer…trigonometric proofs to prove a trigonometric identity you have to show that one side of.