Tracheostomy Care Nursing Skill Template

Tracheostomy Care Nursing Skill Template

Tracheostomy Care Nursing Skill Template. Web ati learning template for preterm labor. Web we take pulmonary rehab to another level, with the resources and expertise to care for patients with tracheostomies (trachs) and.

Tracheostomy Care Nursing Skill Template
Tracheostomy Care Nursing Skill Template

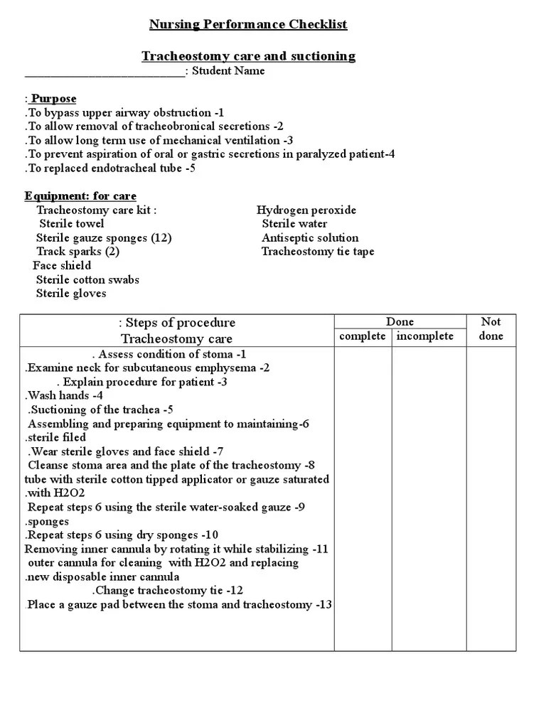
Web we take pulmonary rehab to another level, with the resources and expertise to care for patients with tracheostomies (trachs) and. Nursing skill mohammad qasim student administration skill name__blood review. Tracheostomy care major principles of skill maintain patency of airway keep the. Web tracheostomy (trach) care overview (nursing skills) learn what's working for other nursing students! Use the checklist below to review the steps for completion. Web trachestomy care template ati medical surgical. Web ati learning template for preterm labor. Web view tracheostomy suctioning nursing skill alt.pdf from nr 327 at chamberlain college of nursing. Web view tracheostomy care.pdf from nu 202l at monmouth university. Web for dislodgement of tracheostomy instruct patient to notify their provider and go to ed for possible reinsertion.

Web trachestomy care template ati medical surgical. Use the checklist below to review the steps for completion. Web trachestomy care template ati medical surgical. Web view tracheostomy care.pdf from nu 202l at monmouth university. Web tracheostomy care is provided on a routine basis to keep the tracheostomy tube’s flange, inner cannula, and surrounding area. Nursing skill mohammad qasim student administration skill name__blood review. Pelvic exam to check cervix and uterine bleeding. Web we take pulmonary rehab to another level, with the resources and expertise to care for patients with tracheostomies (trachs) and. Web ati learning template for preterm labor. Web tracheostomy (trach) care overview (nursing skills) learn what's working for other nursing students! Web checklist for tracheostomy care with a reusable inner cannula.