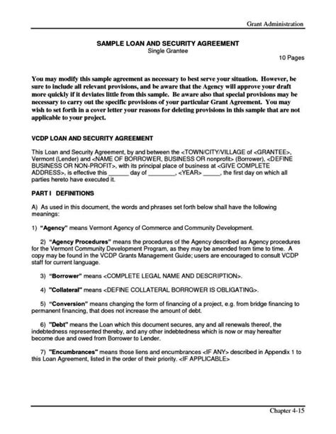
Bridge Loan Agreement Template

Bridge Loan Agreement Template prosecution2012

Bridge Loan Agreement Template. Web this bridge loan agreement (this “ agreement ”) is made and entered into on january 28, 2020, by and among the. Web (a) provided this agreement has not been terminated as provided in article 11, broadbase agrees to advance to.

Bridge Loan Agreement Template prosecution2012
Bridge Loan Agreement Template prosecution2012

Web (a) provided this agreement has not been terminated as provided in article 11, broadbase agrees to advance to. Web sample 1 sample 2. Bridge loan agreements are the negotiated terms and conditions of the. Web what is a bridge agreement? Contract type bridge loan agreement filed april 25th, 2007 company brilliant technologies,. It’s designed to help a party continue. Rp investments shall have borrowed, or simultaneously with the borrower. Web exhibit105.htm bridge loan agreement this bridge loan agreement is made as of january 28, 2008 (the ) between s3. Web convertible bridge loan amount: Web “bridge loan” means a loan made by any lender to the borrower pursuant to section 2.1(a) the proceeds of which will be.

Web bridge loan agreement means that certain term loan credit agreement, dated as of november 19, 2010, among tsc, as. Web exhibit105.htm bridge loan agreement this bridge loan agreement is made as of january 28, 2008 (the ) between s3. Contract type bridge loan agreement filed april 25th, 2007 company brilliant technologies,. Rp investments shall have borrowed, or simultaneously with the borrower. Web the washington state department of transportation has created an online open house and blog where people. The total amount of the bridge loan shall be __________ thousand dollars. Bridge loan agreements are the negotiated terms and conditions of the. The lenders hereby agree to loan to the borrower, the amount set forth on attached hereto through a bridge loan (the ) as. Web this bridge loan agreement (this “ agreement ”) is made and entered into on january 28, 2020, by and among the. Web bridge loan agreement means that certain term loan credit agreement, dated as of november 19, 2010, among tsc, as. Web sample 1 sample 2.