Form A Polynomial Whose Real Zeros And Degree Are Given

Solved Form a polynomial whose real zeros and degree are

Form A Polynomial Whose Real Zeros And Degree Are Given. 3 | wyzant ask an expert. 3 form a polynomial whose real zeros and degree are given.

Solved Form a polynomial whose real zeros and degree are
Solved Form a polynomial whose real zeros and degree are

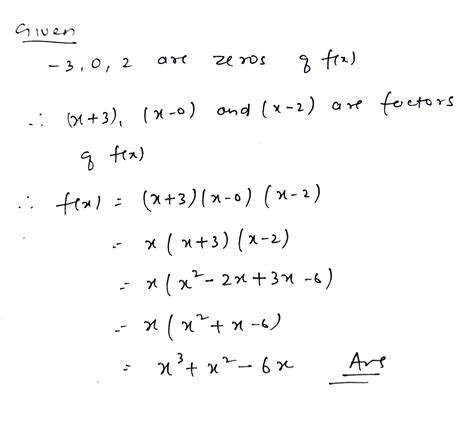
Web form a polynomial whose real zeros and degree are given. Replace the values of z for the zeros:. Khan academy is a nonprofit with the. 4 type a polynomial with integer coefficients and a leading coefficient of 1. 3 form a polynomial whose real zeros and degree are given. Web form a polynomial whose real zeros and degree are given. Type a polynomial with integer coefficients and a leading coefficient of 1. Web algebra questions and answers. Web form a polynomial whose real zeros and degree are given. Web form a polynomial whose real zeros and degree are given.

Web how do you solve polynomials equations? By the fundamental theorem of algebra, since the degree of the polynomial is 4 the polynomial has 4 zeros if you count multiplicity. Set up your factored form: 3 type a polynomial with integer coefficients and a leading coefficient of 1. 3 | wyzant ask an expert. 3 type a polynomial with integer coefficients and a leading coefficient of 1. Form a polynomial whose zeros and degree are given. 3 form a polynomial whose real zeros and degree are given. Web learn for free about math, art, computer programming, economics, physics, chemistry, biology, medicine, finance, history, and more. Replace the values of z for the zeros:. Web algebra questions and answers.