Dissolution Of Trust Form

Fillable Form Bt3 Articles Of Dissolution Of A Business Trust

Dissolution Of Trust Form. The trust deed will detail how to distribute assets and the entitlements of the beneficiaries. Web the termination of a simple living trust is pretty anticlimactic—there are no official documents to sign or file.

Fillable Form Bt3 Articles Of Dissolution Of A Business Trust
Fillable Form Bt3 Articles Of Dissolution Of A Business Trust

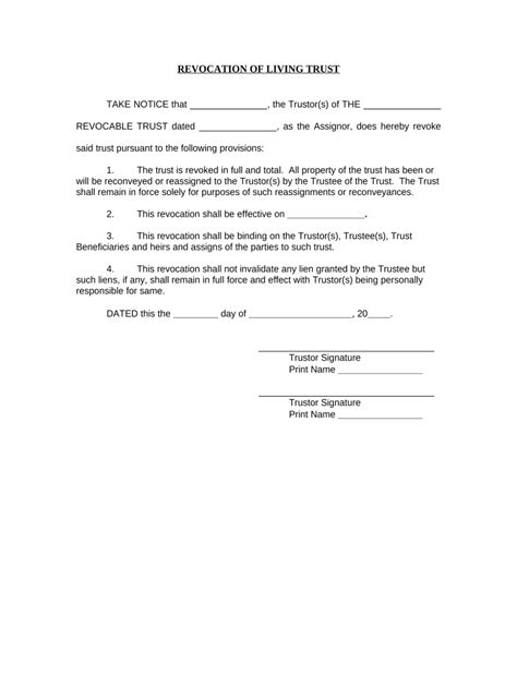
If the trust being dissolved was registered with a particular. Web the dissolution document should, at minimum, be signed and dated by the trust's creator, with a notary public acting as a witness. Web the termination of a simple living trust is pretty anticlimactic—there are no official documents to sign or file. You can find basic trust revocation forms online for free, and these can be all you need if you have a simple trust. This can occur on the trust's vesting date.the trust deed will set out the process to dissolve a trust in this manner. The next step in a revocation or dissolution is to prepare a formal document saying that the trust grantor wishes to dissolve the trust and revoke all its terms and conditions. Obtain a revocation of trust form, either from the court in which you originally filed your trust, or. In this form, the trustee had been given the authority to terminate the trust. In the absence of a provision in a trust instrument giving the trustee power to terminate the trust, a trustee generally has no control over the continuance of the trust. Below are five simple steps to get your revocation of trust form pdf designed without leaving your gmail account:

The next step in a revocation or dissolution is to prepare a formal document saying that the trust grantor wishes to dissolve the trust and revoke all its terms and conditions. Obtain a revocation of trust form, either from the court in which you originally filed your trust, or. Irrevocable trusts , however, typically require a court order and most judges will require a very good reason. The next step in a revocation or dissolution is to prepare a formal document saying that the trust grantor wishes to dissolve the trust and revoke all its terms and conditions. Build your document answer a few simple questions to make your document in minutes save now, finish later start now and save your progress, finish on any device This can occur on the trust's vesting date.the trust deed will set out the process to dissolve a trust in this manner. Web a trust can be dissolved by entirely distributing the trust property and winding up the trust. Web the termination of a simple living trust is pretty anticlimactic—there are no official documents to sign or file. Web description acknowledgment receipt form. ’ the answer is simple — use the signnow chrome extension. Web legal documents ⌃ family and personal ⌃ estate planning ⌃ changing your estate plan make your free living trust revocation make document create your document in just 3 easy steps: