Dental Implants Consent Form

FREE 27+ Sample Consent Forms in PDF MS Word Excel

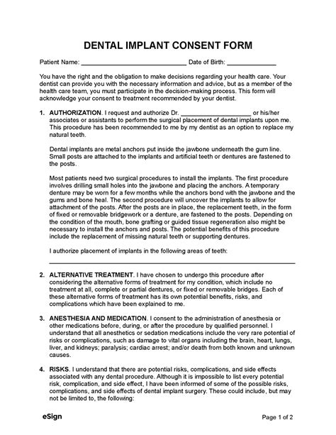
Dental Implants Consent Form. Web implant(s) in my mouth for the purpose of dental restorations. Form to be completed by legal guardian to authorize a caretaker (non legal guardian) to accompany a minor to his/her dental appointment.

FREE 27+ Sample Consent Forms in PDF MS Word Excel
FREE 27+ Sample Consent Forms in PDF MS Word Excel

However, to reduce the risks associated with inexperience, mentors with extensive experience oversee each procedure. Web dental implant consent form 1 all patients receiving dental implants and other oral surgery will be asked to sign consent forms. Web dental implant consent forms typically include information about the risks and benefits of dental implants, as well as the patient's rights and responsibilities. My doctor has carefully examined my mouth. I hereby give consent that augmentation materials such as bone, soft tissue, barrier membrane, and others as required be utilized in conjunction with implant placement. Surgically place an implant into the supporting jawbone. Form to be completed by legal guardian to authorize a caretaker (non legal guardian) to accompany a minor to his/her dental appointment. I have been informed and i understand the purpose and the nature of the implant surgery procedure. Implants have about an 85 percent success rate with various factors influencing the outcome. I understand what is necessary to accomplish the placement of the implant under the gum and in the bone.

_______________ or his/her associates or assistants to perform the surgical placement of dental implants upon me. Web implant placement information and consent form. My doctor has carefully examined my mouth. Form to be completed by legal guardian to authorize a caretaker (non legal guardian) to accompany a minor to his/her dental appointment. Web much more than just another dental procedure—teeth implants can be a true life changer. I request and authorize dr. _______________ or his/her associates or assistants to perform the surgical placement of dental implants upon me. (initials _____) summary you have been provided a general overview of implants. Web dental implant consent form 1 all patients receiving dental implants and other oral surgery will be asked to sign consent forms. Web consent form for dental implants. Not all implant surgeries go perfectly, and in a teaching environment, the surgeons are inexperienced and are in the process of learning clinical judgment.