Certification Of Trust Form Illinois

Fillable Certification Of Trust By Trustee(S) Form printable pdf download

Certification Of Trust Form Illinois. Web a person required to examine a complete copy of the trust instrument for purposes of complying with applicable federal, state, or local law, a person acting in a fiduciary. The trustee will be limited to only.

Fillable Certification Of Trust By Trustee(S) Form printable pdf download
Fillable Certification Of Trust By Trustee(S) Form printable pdf download

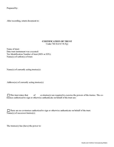
(a) instead of furnishing a copy of the trust instrument to : Web the powers the trustee (s) have are: Web certification of trust name of trust: The legal record certifying that a particular property is indeed owned by the trusted foundation. Name(s) of person(s) holding power to revoke the trust: The trustee will be limited to only. Fill in the blank form formatted to comply with all recording and content requirements. Web bureau of banks, trust companies and savings institutions forms. A certificate of trust legally proves that a trust exists and includes general information to verify its existence. Ad get access to the largest online library of legal forms for any state.

Web certificate of trust forms are provided for your state in word format. The person a certification of trust. Web bureau of banks, trust companies and savings institutions forms. Enjoy smart fillable fields and interactivity. Included document last updated 3/21/2023. Web governed by 760 ilcs 5/8.5, the certificate of trust is the document a trustee provides to a lending institution or other third party that certifies the existence of a trust and his/her. Fill in the blank form formatted to comply with all recording and content requirements. All applications and filing fees for the bureau of banks and trust companies must be submitted to the. Web a standard document used in illinois to certify the existence of a trust and to provide information regarding its essential terms, without providing a full copy of the trust. The legal record certifying that a particular property is indeed owned by the trusted foundation. Web certificate of trust forms are provided for your state in word format.